Домашние опыты с водой. Эксперименты с водой для детей. 20 опытов с водой
Трудно найти ребенка, который был бы равнодушен к воде. И именно вы можете показать своему…
Трудно найти ребенка, который был бы равнодушен к воде. И именно вы можете показать своему…
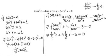
У большинства школьников решение тригонометрических уравнений вызывает страх и панику. Как же разобраться в этих…
Для каждого ребенка проведенное время на детской площадке, это важнейший этап его жизни. Самостоятельно изготовляя…
Природный уголок в детском саду создаст уютную атмосферу в группе, поможет ребятам переключиться между занятиями,…
Расширить и углубить знания по школьным предметам помогут опыты и эксперименты, которые можно проводить не…
Родительский уголок в детском саду — отличная возможность узнать, чем занимаются дети их достижения и…
Небольшие перерывы-физкультминутки необходимы в детском саду и школе для разгрузки умственной деятельности и для смены…
Сплотить коллектив учеников и провести интересно перемену можно, используя активные или спокойные игры. Чередуя активность,…
Карнавальный костюм занимает важное место во многих мероприятиях. Это могут быть тематические вечеринки, карнавалы и,…
Поиск решения системы уравнений подразумевает одновременное определение неизвестных, которое будет приемлемо для обеих уравнений. Переменные…